Najważniejsze założenia:
Dodatkowa, podana ogniskowa jest ujemna, więc możesz przyjąć założenie, że masz do czynienia z soczewką rozpraszającą.
Z rysunku odczytujesz, że:
- obraz powstał w odległości ok. 6,5 kratki od soczewki, więc odległość obrazu od soczewki to ok. 6,5 cm, czyli ok. 7 cm
- obraz ma wysokość około 3 kratki (a więc jego wysokość będzie równa ok. 3 cm).
Teraz oblicz te same wielkości przy pomocy wzorów i danych:
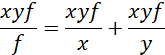
Aby obliczyć odległość obrazu od soczewki, wykorzystaj równanie soczewki:
Zatem:
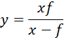
Podstaw do wyprowadzonego wzoru odpowiednie dane liczbowe, aby obliczyć odległość obrazu od soczewki:
Jak widzisz, otrzymałeś wynik ujemny, a zatem powstały obraz jest pozorny.
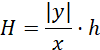
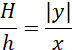
Powiększenie obrazu można wyrazić poprzez dwie zależności:
Przekształć:
Aby obliczyć wysokość obrazu podstaw do wyprowadzonego wzoru dane z zadania:
Wniosek: Szukane wartości (wysokość obrazu oraz jego odległość od soczewki) uzyskane obiema metodami i w przybliżeniu do całości są sobie równe. W porównaniu do odczytywania danych z rysunku, dokładniejsze wyniki zyskujesz jednak przy wykorzystaniu odpowiednich równań i wzorów.
Na początku narysuj konstrukcję opisaną w zadaniu, mając na uwadze, że:
Kolejnym krokiem jest przyrównanie do siebie dwóch zależności na powiększenie obrazu. Otrzymasz wtedy równanie