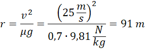
Jaka jest minimalny promień zakrętu, po jakim może przejechać samochód z prędkością 90 , jeśli współczynnik tarcia opon o asfalt wynosi 0,7?
Rozwiązanie
Wyjaśnienie
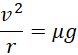
Wartość maksymalnej dopuszczalnej siły dośrodkowej jest równa maksymalnej wartości siły tarcia, porównując obie wartości i dokonując pokazanych przekształceń, możemy wyznaczyć minimalną bezpieczną wartość promienia zakrętu.