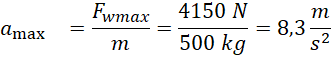
Jaka jest maksymalna wartość przyspieszenia, z jaką można wciągać skrzynię?
Maksymalna wartość siły wypadkowej jest równa różnicy maksymalnej wartości naprężenia liny i oporów działających podczas ciągnięcia skrzyni pod górę.
Zadanie 1
Zadanie 2
Zadanie 3
Zadanie 4
Podpunkt a)
Podpunkt b)
Podpunkt c)
Podpunkt d)
Podpunkt e)
Podpunkt f)
Podpunkt g)
Zadanie 5
Zadanie 6
Podpunkt 1)
Podpunkt 2)
Podpunkt 3)
Podpunkt 4)
Podpunkt 5)