Jaką drogę przebył samochód podczas zderzenia?
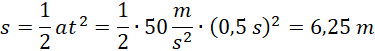
Samochód podczas zderzenia przebył 6,25 metra.
Drogę przebytą przez ciało w ruchu jednostajnie opóźnionym możemy obliczyć ze wzoru .
Zadanie 1
Zadanie 2
Zadanie 3
Zadanie 4
Podpunkt a)
Podpunkt b)
Podpunkt c)
Podpunkt d)
Podpunkt e)
Podpunkt f)
Podpunkt g)
Zadanie 5
Zadanie 6
Podpunkt 1)
Podpunkt 2)
Podpunkt 3)
Podpunkt 4)
Podpunkt 5)