Jaką prędkość na dole równi uzyska zsuwająca się skrzynia, jeśli współczynnik tarcia wyniesie 0,1?
Rozwiązanie
Wyjaśnienie
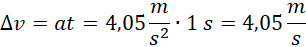
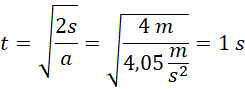
Prędkość skrzyni na dole równi jest równa iloczynowi czasu, przez jaki skrzynia się zsuwała oraz jej przyspieszenia, które możemy wyznaczyć jako iloraz siły wypadkowej i masy skrzyni.