Odpowiedź:
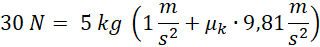
Z wykresu możemy odczytać, że maksymalna wartość siły tarcia statycznego wynosi 30 N, jest ona równa iloczynowi masy ciała, przyspieszenia grawitacyjnego i współczynnika tarcia statycznego. Masę możemy wyznaczyć jako współczynnik kierunkowy prostej wykresu w przedziale siły F: 30 N – 45 N, gdyż