Prędkość światła jest wielkością fizyczną i opisuje prędkość rozchodzenia się światła w próżni. Nie zależy ona od częstotliwości fali ani układu odniesienia. Jej stałość wynika z podstawowych własności przestrzeni i dlatego w fizyce określa się stałą c o wartości:
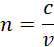
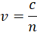
Jednak w ośrodku materialnym światło rozchodzi się z mniejszą prędkością, ponieważ oddziałuje z ładunkami zawartymi w materii. Prędkość światła w danym ośrodku można opisać za pomocą współczynnika załamania:
, gdzie
Dla przykładu współczynnik załamania wody wynosi 1,33 co oznacza, że światło w wodzie porusza się 1,33 razy wolniej niż w próżni.