Kiedy elektron ma przeskoczyć na wyższą orbitę, musi zostać dostarczona do atomu energia. Twoim zadaniem jest ją obliczyć z pomocą podanych informacji.
Rozwiązanie
Wyjaśnienie
Dane:
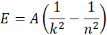
Energię występującą przy przeskoku elektronu w atomie wodoru wyrażamy wzorem:
Gdzie
A – stała oznaczająca energię elektronu na pierwszej orbicie