W zadaniu musisz obliczyć kąt pod którym powstanie prążek III rzędu na ekranie względem prążka zerowego.
Dane:
Szukane:
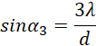
Skorzystaj ze wzoru:
Korzystając z tablicy trygonometrycznej:
Zadanie 1
Zadanie 2
Zadanie 3
Podpunkt a)
Podpunkt b)
Zadanie 4
Podpunkt c)
Zadanie 5
Zadanie 1.1
Zadanie 1.2
Zadanie 1.3
Zadanie 1.4
Zadanie 1.5
Zadanie 1.6
Zadanie 2.1
Zadanie 2.2
Zadanie 3.1
Zadanie 3.2
Zadanie 3.3
Zadanie 3.4
Zadanie 3.5
Zadanie 3.6
Zadanie 3.7
Zadanie 4.1
Zadanie 4.2
Zadanie 4.3
Zadanie 4.4
Zadanie 4.5
Zadanie 4.6
Zadanie 4.7
Zadanie 4.8
Zadanie 4.9
Zadanie 4.10
Zadanie 6.1
Zadanie 6.2
Zadanie 6.3
Zadanie 7.1
Zadanie 7.2
Zadanie 8
Zadanie 9
Zadanie 10