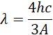
W tym zadaniu musisz obliczyć długość fali fotonu, który emitowany jest przy przejściu elektronu z drugiego poziomu energetycznego na pierwszy.
Energia fotonu:
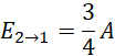
Z poprzedniej części zadania znacz energię fotonu przy przejściu z II orbity na I:
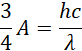
Przyrównaj wzory:
Zadanie 1
Zadanie 2
Zadanie 3
Podpunkt a)
Podpunkt b)
Zadanie 4
Podpunkt c)
Zadanie 5
Zadanie 1.1
Zadanie 1.2
Zadanie 1.3
Zadanie 1.4
Zadanie 1.5
Zadanie 1.6
Zadanie 2.1
Zadanie 2.2
Zadanie 3.1
Zadanie 3.2
Zadanie 3.3
Zadanie 3.4
Zadanie 3.5
Zadanie 3.6
Zadanie 3.7
Zadanie 4.1
Zadanie 4.2
Zadanie 4.3
Zadanie 4.4
Zadanie 4.5
Zadanie 4.6
Zadanie 4.7
Zadanie 4.8
Zadanie 4.9
Zadanie 4.10
Zadanie 6.1
Zadanie 6.2
Zadanie 6.3
Zadanie 7.1
Zadanie 7.2
Zadanie 8
Zadanie 9
Zadanie 10