W tym zadaniu musisz podać na podstawie obliczeń, jaki pęd będzie miał foton wyemitowany przy przeskoku z drugiej orbity na pierwszą?
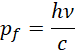
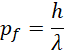
Pęd fotonu wyrażony jest wzorem:
Z poprzedniej części zadania:
Podstaw dane:
Zadanie 1
Zadanie 2
Zadanie 3
Podpunkt a)
Podpunkt b)
Zadanie 4
Podpunkt c)
Zadanie 5
Zadanie 1.1
Zadanie 1.2
Zadanie 1.3
Zadanie 1.4
Zadanie 1.5
Zadanie 1.6
Zadanie 2.1
Zadanie 2.2
Zadanie 3.1
Zadanie 3.2
Zadanie 3.3
Zadanie 3.4
Zadanie 3.5
Zadanie 3.6
Zadanie 3.7
Zadanie 4.1
Zadanie 4.2
Zadanie 4.3
Zadanie 4.4
Zadanie 4.5
Zadanie 4.6
Zadanie 4.7
Zadanie 4.8
Zadanie 4.9
Zadanie 4.10
Zadanie 6.1
Zadanie 6.2
Zadanie 6.3
Zadanie 7.1
Zadanie 7.2
Zadanie 8
Zadanie 9
Zadanie 10