W tym zadaniu musisz obliczyć długość jaką musi mieć fala skoro pada na ekran pod podanym kątem przy siatce dyfrakcyjnej o podanej stałej.
Dane:
Szukane:
Skorzystaj z tablicy trygonometrycznej i zauważ, że:
Skoro
oraz
, to
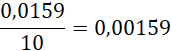
Ponieważ kąt jest o większy od podziel otrzymaną różnicę sinusów przez 10:
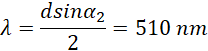
Skorzystaj ze wzoru:
Zadanie 1
Zadanie 2
Zadanie 3
Podpunkt a)
Podpunkt b)
Zadanie 4
Podpunkt c)
Zadanie 5
Zadanie 1.1
Zadanie 1.2
Zadanie 1.3
Zadanie 1.4
Zadanie 1.5
Zadanie 1.6
Zadanie 2.1
Zadanie 2.2
Zadanie 3.1
Zadanie 3.2
Zadanie 3.3
Zadanie 3.4
Zadanie 3.5
Zadanie 3.6
Zadanie 3.7
Zadanie 4.1
Zadanie 4.2
Zadanie 4.3
Zadanie 4.4
Zadanie 4.5
Zadanie 4.6
Zadanie 4.7
Zadanie 4.8
Zadanie 4.9
Zadanie 4.10
Zadanie 6.1
Zadanie 6.2
Zadanie 6.3
Zadanie 7.1
Zadanie 7.2
Zadanie 8
Zadanie 9
Zadanie 10