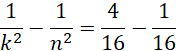
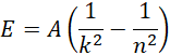
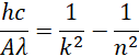
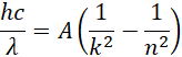
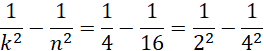
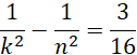
Zadanie

Tutaj na podstawie obliczeń musisz wykazać z której na którą orbitę przeskoczył elektron.

Rozwiązanie

Wyjaśnienie

Zadania z tego działu
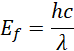
Dualna natura promieniowania i materii
8
Fale elektromagnetyczne
8
Pomiar wartości prędkości światła
20
Dyfrakcja i interferencja światła
24
Zdolność rozdzielcza przyrządów optycznych
31
Polaryzacja światła
36
Zjawisko fotoelektryczne zewnętrzne
42
Promieniowanie ciał. Widma
50
Model Bohra budowy atomu wodoru
63
Promieniowanie rentgenowskie
78