Kiedy elektron przeskakuje na niższą orbitę, emituje on energię. Twoim zadaniem jest ją obliczyć z pomocą podanych informacji.
Dane:
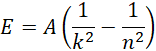
Energię występującą przy przeskoku elektronu w atomie wodoru wyrażamy wzorem:
Gdzie
A – stała oznaczająca energię elektronu na pierwszej orbicie
k -numer niższej orbity
n – numer wyższej orbity
Podstawiamy do wzoru:
Zadanie 1
Zadanie 2
Zadanie 3
Podpunkt a)
Podpunkt b)
Zadanie 4
Podpunkt c)
Zadanie 5
Zadanie 1.1
Zadanie 1.2
Zadanie 1.3
Zadanie 1.4
Zadanie 1.5
Zadanie 1.6
Zadanie 2.1
Zadanie 2.2
Zadanie 3.1
Zadanie 3.2
Zadanie 3.3
Zadanie 3.4
Zadanie 3.5
Zadanie 3.6
Zadanie 3.7
Zadanie 4.1
Zadanie 4.2
Zadanie 4.3
Zadanie 4.4
Zadanie 4.5
Zadanie 4.6
Zadanie 4.7
Zadanie 4.8
Zadanie 4.9
Zadanie 4.10
Zadanie 6.1
Zadanie 6.2
Zadanie 6.3
Zadanie 7.1
Zadanie 7.2
Zadanie 8
Zadanie 9
Zadanie 10