1. Liczba elektronów wyemitowanych z płytki cezu pod wpływem promieniowania ultrafioletowego o natężeniu
2. Natężenie prądu nasycenia płynącego w obwodzie fotokomórki jest wprost proporcjonalne do natężenia promieniowania padającego na katodę tej fotokomórki. P
3. Maksymalna energia kinetyczna elektronów emitowanych z katody fotokomórki jest liniową funkcją częstotliwości promieniowania wywołującego zjawisko fotoelektryczne. P
4. Jeśli znamy napięcie hamujące, przy którym natężenie prądu w obwodzie fotokomórki jest równe zeru, możemy obliczyć maksymalną energię kinetyczną fotoelektronów z równania
1. Jeden foton może wybić tylko jeden elektron. Oznacza to, że jeśli światła mają takie samo natężenie, to wybiją taką samą liczbę elektronów. Jedyną obawą jest to, czy energia fotonów potrzebna do wybicia ładunków będzie wystarczająca w obu przypadkach. Można to sprawdzić znając pracę wyjścia cezu:
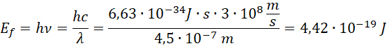
Policz wartość energii fotonu światła fioletowego, wiedząc, że:
Jak widzisz światło fioletowe ma wystarczająco dużą energię do wybicia elektronów.
Ponieważ światło ultrafioletowe ma mniejszą długość fali jego energia będzie większa od światła fioletowego
Oznacza to, że również zajdzie efekt fotoelektryczny.
2. Każdy foton może wybić jeden elektron, co oznacza, że wraz ze wzrostem natężenia wzrasta ilość wybitych elektronów. Prąd nasycenia oznacza, że każdy elektron dociera do anody.
3. Przekształcając wzór Einsteina:
Ponieważ wartości
4. Wzór wyraża iloraz ładunku elektrycznego i napięcia potrzebnego do nadania elektronowi maksymalnej energii kinetycznej. Oznacza to, że takie samo napięcie o przeciwnym zwrocie będzie potrzebne co całkowitego zatrzymania elektronu o maksymalnej energii kinetycznej.