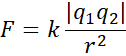
Na podstawie danych zawartych w treści zadania oblicz wartość sił wzajemnego oddziaływania działających między dwoma kulkami.
Rozwiązanie
Wyjaśnienie
Na początku obliczamy ilość nadmiarowych i brakujących elektronów na kulkach po przeniesieniu co miliardowego z nich. Następnie obliczamy ładunek tych kulek. Na koniec, korzystając z prawa Faradaya, obliczamy siłę wzajemnego oddziaływania.