Ładunek jest ujemny i musi mieć wartość bezwzględną większą niż obliczona wartość graniczna. To znaczy, że ładunek qo < -29 pC
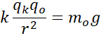
Obliczamy wartość graniczną ładunku. W tym celu przyrównujemy do siebie siłę pochodzącą od wzajemnego oddziaływania i siłę grawitacji działającą na opiłek. Przekształć wzór, otrzymując zależność na ładunek opiłka i podstaw dane liczbowe.