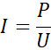
W tym zadaniu oblicz, ile laptopów o mocy 90 W można podłączyć do obwodu zabezpieczonego bezpiecznikiem 10 A.
Rozwiązanie
Wyjaśnienie
Obliczamy natężenie prądu płynącego przez jeden laptop. Następnie obliczamy ilość laptopów, dzieląc maksymalne natężenie prądu całkowitego przez natężenie prądu płynącego przez jedno urządzenie.