Zadanie

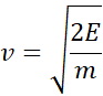
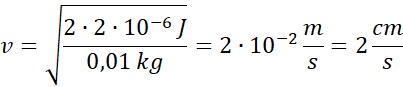
W tym zadaniu oblicz prędkość, jaką maksymalnie uzyska kulka o masie 10 g naładowana ładunkiem 1 nC przemieszczająca się między okładkami kondensatora, jeśli napięcie między nimi wynosi 2000 V, a kulka początkowo spoczywała.

Rozwiązanie

Wyjaśnienie

Zadania z tego działu
Zbiór zadań
193