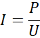
W tym zadaniu oblicz, ile żarówek o mocy 100 W można podłączyć do obwodu zabezpieczonego bezpiecznikiem 10 A.
Rozwiązanie
Wyjaśnienie
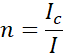
Obliczamy natężenie prądu płynącego przez jedną żarówkę. Następnie obliczamy ilość żarówek, dzieląc maksymalne natężenie prądu całkowitego przez natężenie prądu płynącego przez jedno urządzenie.