W tym zadaniu oblicz, ile lampek LED o mocy 12 W można podłączyć do obwodu zabezpieczonego bezpiecznikiem 10 A.
Rozwiązanie
Wyjaśnienie
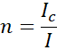
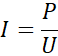
Obliczamy natężenie prądu płynącego przez jedną lampkę LED. Następnie obliczamy ilość lampek, dzieląc maksymalne natężenie prądu całkowitego przez natężenie prądu płynącego przez jedno urządzenie.