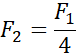
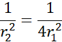
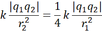
W tym zadaniu oblicz odległość, na jaką oddalone kawałki bursztynu będą działały na siebie czterokrotnie mniejszą siłą.
Zapisz zależność między dwoma siłami. Wykorzystujemy wzór na siłę wynikający z prawa Coulomba.
Zadanie 1.
Zadanie 2.
Zadanie 3.
Zadanie 4.
Zadanie 5.
Zadanie 6.
Zadanie 7.
Zadanie 8.
Zadanie 9.
Zadanie 10.
Podpunkt a)
Podpunkt b)
Zadanie 11.
Podpunkt c)
Podpunkt d)
Zadanie 12.
Zadanie 13.
Zadanie *14.
Zadanie *15.
Zadanie *16.
Zadanie 17.
Zadanie 18.
Zadanie *19.
Zadanie 20.
Zadanie 21.
Zadanie 22.
Zadanie 23.
Zadanie 24.
Zadanie 25.
Zadanie 26.
Zadanie *27.
Zadanie 14.
Zadanie 15.
Zadanie 16.
Zadanie 19.
Zadanie *21.
Zadanie *23.
Zadanie *24.
Zadanie 27.
Zadanie 28.
Zadanie 29.
Zadanie 30.