W tym zadaniu oblicz, ile razy większe byłyby straty energii, gdyby w sieci przesyłowej napięcie wynosiło 230 V, w porównaniu do stosowanego 400 kV.
Rozwiązanie
Wyjaśnienie
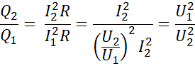
Moc prądu w obu przypadkach jest taka sama, dlatego obliczamy zależność natężenia prądu w przypadku drugim do przypadku pierwszego w oparciu o wzór na moc. Do obliczenia stosunku strat ciepła wykorzystujemy wzór podany w treści zadania.