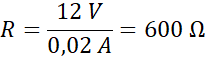
W tym zadaniu oblicz opór elektryczny opornika podłączonego do baterii 12 V, jeśli płynie przez niego prąd 20 mA.
Korzystamy z prawa Ohma.
Zadanie 1.
Zadanie 2.
Zadanie 3.
Zadanie 4.
Zadanie 5.
Zadanie 6.
Zadanie 7.
Zadanie 8.
Zadanie 9.
Zadanie 10.
Podpunkt a)
Podpunkt b)
Zadanie 11.
Podpunkt c)
Podpunkt d)
Zadanie 12.
Zadanie 13.
Zadanie *14.
Zadanie *15.
Zadanie *16.
Zadanie 17.
Zadanie 18.
Zadanie *19.
Zadanie 20.
Zadanie 21.
Zadanie 22.
Zadanie 23.
Zadanie 24.
Zadanie 25.
Zadanie 26.
Zadanie *27.
Zadanie 14.
Zadanie 15.
Zadanie 16.
Zadanie 19.
Zadanie *21.
Zadanie *23.
Zadanie *24.
Zadanie 27.
Zadanie 28.
Zadanie 29.
Zadanie 30.