Dwie kulki przyczepiono do końcówek pręta o długości 20 cm, po czym w połowie go zgięto, a kulki naelektryzowano ładunkiem q. Korzystając z danych na wykresie i wzoru na siłę oddziaływania elektrostatycznego (odpychania się kulek) znajdź wartość ładunku, jakim naładowano kulkę.
Następnie do znalezionego wzoru wstawiając punkt z wykresu o współrzędnych (F=0.03N,
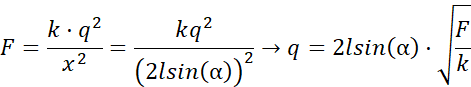
Przekształć wyrażenie na siłę między dwoma ładunkami, aby znaleźć zależność ładunku od siły i kąta, gdzie następnie za niewiadome wstaw punkty z wykresu.
Zadanie 12.4.1
114Zadanie 12.4.4
115Zadanie 12.1.4
96Zadanie 12.1.5
96Zadanie 12.1.6
97Zadanie 12.1.7
97Zadanie 12.1.8
97Zadanie 12.4.10
116Zadanie 12.1.11
97Zadanie 12.1.14
98Zadanie 12.2.1
103Zadanie 12.2.2
103Zadanie 12.5.1
122Zadanie 12.5.3
123Zadanie 12.5.5
124Zadanie 12.5.7
124Zadanie 12.6.2
131Zadanie 12.6.3
132Zadanie 12.6.6
132Zadanie 12.6.7
133Zadanie 12.6.8
133Zadanie 12.6.9
133Zadanie 12.6.13
134Zadanie 12.1.4
140Zadanie 12.1.8
140Zadanie 12.1.11
141Zadanie 12.1.14
142Zadanie 12.1.15
142Zadanie 1.1
147Zadanie 1.2
148Zadanie 1.3
148