Znajdź siłę działającą na ładunek
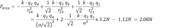
Siły pochodzące od oddziaływania z ładunkami q3 i q4 po zsumowaniu będą miały kierunek leżący na prostej łączącej punkty B i D (ładunki i ich odległości od punktu B są takie same, a punkty leżą w wierzchołkach kwadratu).
Zwrot tej siły jest taki jak od punktu D do B.
Zsumowano wszystkie siły działające na ładunek, wykorzystano wynik z poprzedniego rysunku, zaś sinus pojawił się z racji rozłożenia siły na składową leżącą na przekątnej kwadratu tworzonego przez siły FBC i FBA.
Zadanie 12.4.1
114Zadanie 12.4.4
115Zadanie 12.1.4
96Zadanie 12.1.5
96Zadanie 12.1.6
97Zadanie 12.1.7
97Zadanie 12.1.8
97Zadanie 12.4.10
116Zadanie 12.1.11
97Zadanie 12.1.14
98Zadanie 12.2.1
103Zadanie 12.2.2
103Zadanie 12.5.1
122Zadanie 12.5.3
123Zadanie 12.5.5
124Zadanie 12.5.7
124Zadanie 12.6.2
131Zadanie 12.6.3
132Zadanie 12.6.6
132Zadanie 12.6.7
133Zadanie 12.6.8
133Zadanie 12.6.9
133Zadanie 12.6.13
134Zadanie 12.1.4
140Zadanie 12.1.8
140Zadanie 12.1.11
141Zadanie 12.1.14
142Zadanie 12.1.15
142Zadanie 1.1
147Zadanie 1.2
148Zadanie 1.3
148