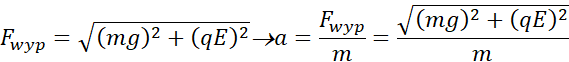
Aby wyznaczyć okres drgań wahadła, trzeba najpierw znaleźć wypadkową siłę działającą na ciało. Skoro siła elektrostatyczna i grawitacyjna są do siebie prostopadłe, to ich wypadkowa to
Z kolei wzór na okres drgań wahadła matematycznego to:
Skoro siła elektrostatyczna i grawitacyjna są do siebie prostopadłe, to aby znaleźć długość wektora będącego ich sumą (czyli długość przekątnej trójkąta utworzonego przez nie), skorzystaj z twierdzenia Pitagorasa. Następnie skorzystaj ze wzoru na wahadło matematyczne. Przyjmij, że w otoczeniu punktu równowagi na ciało działa takie samo przyspieszenie (pozwala to patrzeć na sytuację, tak jakby ciało znajdowało się w nowym polu grawitacyjnym).