Korzystając z prawa Gaussa dla dużej jednorodnie naładowanej płyty, można napisać, że jej wkład do pola między okładkami wynosi:
Sumując więc wkłady od każdej z okładek, otrzymuje się:
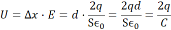
Następnie korzystając z definicji napięcia:
Skorzystano z prawa Gaussa dla jednorodnie naładowanej płyty. Pole wypływające z każdej ze ścianek równe jest:
Skoro druga ścianka jest również naładowana ładunkiem o tym samym znaku to linie sił pola pochodzące od każdej z okładek, pomiędzy ściankami będą miały przeciwne zwroty stąd znak minus. Z kolei do znalezienia napięcia skorzystano z faktu, że pole między okładkami można uznać za jednorodne.