Dwie płytki o średnicy 20 cm i masie 5 dag każda odległe od siebie o 1 cm podłączono do napięcia 4,5 V/ Jaką pracę należy wykonać, aby je rozsunąć na 2 cm, jeśli kondensator jest nadal podłączony do baterii.
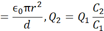
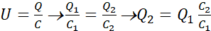
U = const, zatem można zapisać:
Chcąc teraz znaleźć pracę, zapisuje się zmianę energii całego układu: (w przeciwieństwie do poprzedniego przypadku w jego skład wchodzi źródło, którego ewentualną pracę należy uwzględnić)
Po wstawieniu wcześniej znalezionych zależności:
Otrzymuje się:
Skorzystano ze wzoru na pojemność i energię kondensatora oraz wzoru na pracę w polu elektrostatycznym. Założenie U = const bierze się z tego, że okładki kondensatora są podłączone do baterii.
Zadanie 12.4.1
114Zadanie 12.4.4
115Zadanie 12.1.4
96Zadanie 12.1.5
96Zadanie 12.1.6
97Zadanie 12.1.7
97Zadanie 12.1.8
97Zadanie 12.4.10
116Zadanie 12.1.11
97Zadanie 12.1.14
98Zadanie 12.2.1
103Zadanie 12.2.2
103Zadanie 12.5.1
122Zadanie 12.5.3
123Zadanie 12.5.5
124Zadanie 12.5.7
124Zadanie 12.6.2
131Zadanie 12.6.3
132Zadanie 12.6.6
132Zadanie 12.6.7
133Zadanie 12.6.8
133Zadanie 12.6.9
133Zadanie 12.6.13
134Zadanie 12.1.4
140Zadanie 12.1.8
140Zadanie 12.1.11
141Zadanie 12.1.14
142Zadanie 12.1.15
142Zadanie 1.1
147Zadanie 1.2
148Zadanie 1.3
148