Strategia w rozwiązywaniu tego zadania jest następująca: będziemy po kolei budować układ i sumować pracę wykonaną na dołożenie każdego ładunku. Tak więc praca na umieszczenie jednego ładunku wynosi:
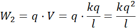
Następnie, dla drugiego ładunku:
Natomiast dla trzeciego ładunku:
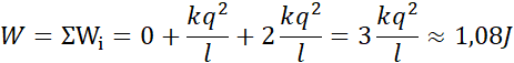
Tak więc całkowita praca wynosi:
W rozwiązaniu skorzystano z faktu, że potencjały pochodzące od wielu ładunków można dodawać w każdym punkcie. Sposób na budowanie układu polegał, na umieszczaniu w przestrzeni kolejno ładunków, biorąc je z nieskończoności, gdzie ich energia potencjalna wynosiła 0. Pierwszy ładunek podczas przesuwania nie czuł pola od żadnego innego ładunku, więc nie trzeba było wkładać żadnej pracy, drugi natomiast czuł obecność tylko jednego, a trzeci, dwóch pozostałych. Kolejność i sposób zbudowania układu nie ma znaczenia. Sumaryczna energia potrzebna na jego zbudowanie jest zawsze taka sama, stąd więc niezależnie od wybranej metody zawsze powinno się otrzymać ten sam wynik.