W reżimie klasycznym energia kinetyczna dana jest wzorem:
Zaś w reżimie relatywistycznym:
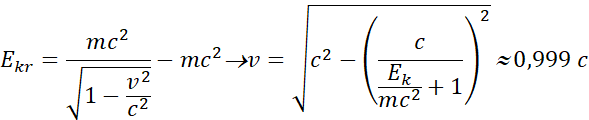
Do otrzymania poszukiwanych wyników wykorzystano podane wcześniej wzory. Warto zwrócić uwagę na rozbieżność prezentowanych przezeń wyników. Nierelatywistyczny wzór dopuszcza rozpędzenie ciała do prędkości większej niż prędkość światła. Jak wiadomo dzięki Szczególnej Teorii Względności Einsteina, jest to niemożliwe i wymaga nieskończonej energii. Rzeczywistą prędkość, do jakiej można rozpędzić elektron, prezentuje wynik drugi. To właśnie niezgodność wyników doświadczeń z przewidywaniami teoretycznymi fizyki nierelatywistycznej były sygnałem, że nie opisuje ona w poprawny sposób zjawisk fizycznych dla prędkości porównywalnych z prędkością światła, co zobaczyć można było w tym zadaniu.