Aby strumień elektronów opuścił obszar, musi pokonać drogę w poziomie w czasie szybszym niż drogę w pionie. Czas, jaki zajmie elektronowi pokonanie drogi w poziomie to:
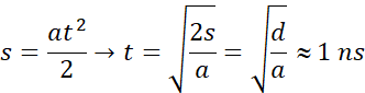
A czas, jaki zajmie elektronowi przebycie drogi w pionie, to:
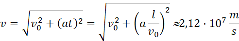
Rachunek pokazuje, że faktycznie czas, jaki zajmie protonowi przebycie drogi w poziomie jest krótszy niż czas przebycia drogi w pionie, zatem elektron faktycznie wyleci. Teraz należy znaleźć prędkość:
Mając prędkość, można teraz bez trudu znaleźć kąt, o jaki odchylił się elektron.
Skorzystano z faktu, że elektron porusza się w jednorodnym polu elektrycznym, przez co wykonuje ruch jednostajnie przyspieszony. Porównano czasy potrzebne na przebycie drogi w pionie i poziomie i wywnioskowano, że elektron wyleci z obszaru. Następnie skorzystano z podstawowych zależności trygonometrycznych do znalezienia kąta, o jaki zostanie wychylony.