Siła:
Przyspieszenie:
Siła:
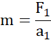
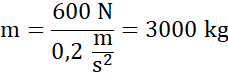
Masa:
Przyspieszenie:
Zmiana prędkości:
Czas:
Siła:
Silnik musi działać siłą 900 niutonów.
Skorzystaj ze wzoru na przyspieszenie:
gdzie a – przyspieszenie
t – czas [s].
Skorzystaj i przekształć wzór na siłę wynikający z 2 zasady dynamiki:
gdzie a – przyspieszenie
F – siła wypadkowa [N],
m – masa ciała [kg].