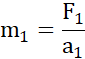
Siła:
Przyspieszenie:
Siła:
Masa:
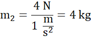
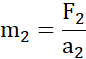
Drugie ciało:
Siła:
Przyspieszenie:
Siła:
Masa:
Masa m2 jest 4 razy większa od masy m1.
Skorzystaj i przekształć wzór na siłę wynikający z 2 zasady dynamiki:
gdzie a – przyspieszenie
F – siła wypadkowa [N],
m – masa ciała [kg].
Im mniejsza masa, tym łatwiej jest ciału osiągnąć dane przyspieszenie.