Siła:
Masa:
Przyspieszenie:
Zmiana prędkości:
Zmiana prędkości:
Przyspieszenie:
Zmiana prędkości:
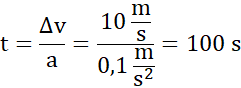
Czas:
Droga w ruchu jednostajnie przyspieszonym:
Elektrowóz rozpędzi się w 100 sekund, przebędzie wtedy drogę równą 500 metrów.
Skorzystaj ze wzoru na przyspieszenie wynikające z drugiej zasady dynamiki:
gdzie a – przyspieszenie
F – siła wypadkowa [N],
m – masa ciała [kg].
Skorzystaj ze wzoru na przyspieszenie i go przekształć:
gdzie a – przyspieszenie
t – czas [s].
Wzór na drogę w ruchu jednostajnie przyspieszonym ma postać:
gdzie s – droga [m],
t – czas [s],
a – przyspieszenie [