Masa:
Droga:
Prędkość w ruchu jednostajnie przyspieszonym:
Przyspieszenie:
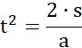
Droga w ruchu jednostajnie przyspieszonym:
Przyspieszenie:
Wstawiam do wzoru przyspieszenie:
Czas:
Przyspieszenie:
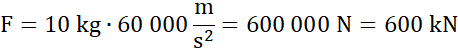
Siła:
Siła działania gazów wynosiła 600 kN.
By obliczyć prędkość, wykorzystaj wzór:
gdzie
t – czas [s],
a – przyspieszenie
Wzór na drogę w ruchu jednostajnie przyspieszonym ma postać:
gdzie s – droga [m],
t – czas [s],
a – przyspieszenie [
Wzór na siłę wynikający z 2 zasady dynamiki:
gdzie a – przyspieszenie
F – siła wypadkowa [N],
m – masa ciała [kg].