Siła:
Masa:
Przyspieszenie:
Czas:
Droga w ruchu jednostajnie przyspieszonym:
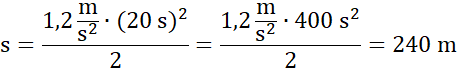
Wózek przebędzie 240 metrów.
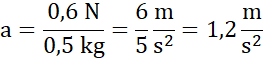
Skorzystaj ze wzoru na przyspieszenie wynikające z drugiej zasady dynamiki:
gdzie a – przyspieszenie
F – siła wypadkowa [N],
m – masa ciała [kg].
Wzór na drogę w ruchu jednostajnie przyspieszonym ma postać:
gdzie s – droga [m],
t – czas [s],
a – przyspieszenie [