Zmiana prędkości:
Droga:
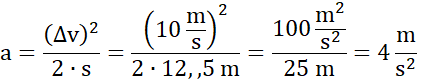
Przyspieszenie (opóźnienie):
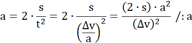
Droga w ruchu jednostajnie przyspieszonym:
Wstawiam do wzoru wyrażenie na czas:
Przyspieszenie:
Masa:
Siła wypadkowa:
Działano siłą 20 000 N.
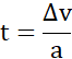
Skorzystaj ze wzoru na przyspieszenie i go przekształć:
gdzie a – przyspieszenie
t – czas [s].
Wzór na drogę w ruchu jednostajnie przyspieszonym ma postać:
gdzie s – droga [m],
t – czas [s],
a – przyspieszenie [
Wzór na siłę wynikający z 2 zasady dynamiki:
gdzie a – przyspieszenie
F – siła wypadkowa [N],
m – masa ciała [kg].