Przyspieszenie ziemskie:
Wysokość
Prędkość w momencie zetknięcia się z ziemią:
Czas trwania ruchu:
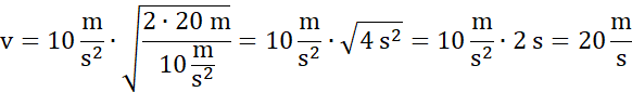
Wstawiam to do wzoru na prędkość:
Prędkość ciała w momencie uderzenia wynosiła 20 metrów na sekundę.
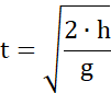
Prędkość końcową podczas swobodnego spadania ciał oblicz ze wzoru:
gdzie
t – czas spadania [s],
g – przyspieszenie ziemskie
Wzór na wysokość podczas swobodnego wznoszenia się ciał:
gdzie h – wysokość [m],
t – czas spadania [s],
g – przyspieszenie ziemskie