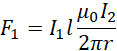
W tym zadaniu na podstawie podanych informacji musisz policzyć, jaka jest wartość siły w przypadku, kiedy przewodnik nr 2 działa na 1 m długości przewodnika nr 1.
Rozwiązanie
Siła elektromagnetyczna:
– indukcja magnetyczna pola, w którym umieszczony jest przewodnik
– natężenie prądu w przewodniku
– długość przewodnika
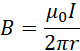
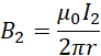
Przewodnik 1 umieszczony jest w polu magnetycznym .