Masa całkowita stopu: 100 g + 900g = 1000 g
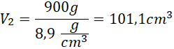
Objętość całkowita stopu:
Gęstość brązu:
Odp.: Gęstość uzyskanego brązu wynosi
Chcąc wyznaczyć gęstość nowego stopu brązu, potrzebujemy jego masy i objętości. Masa to suma mas składników stopu. Objętość natomiast wyznaczamy na bazie sum objętości składników stopu; cyny oraz miedzi, o znanych masach i gęstościach. Wyliczając kolejno te objętości, sumujemy je, a następnie dzielimy przez nie sumę mas cyny i miedzi.