Skul.pl
  • Opracowania zadań z podręczników
  • Spotkania z fizyką. Klasa 7. Zeszyt ćwiczeń - rozwiązania i odpowiedzi
  • Podpunkt d)

Spotkania z fizyką. Klasa 7. Zeszyt ćwiczeń - rozwiązania i odpowiedzi

Zeszyt ćwiczeń, Wydawnictwo: Nowa Era
Poprzednie

Zadanie 3, d) - strona 34

Następne

Zadanie

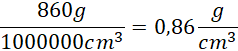
Zamień wynik z kilogramów na metr sześcienny na gramy na centymetr sześcienny.

Rozwiązanie

Skul

Wyjaśnienie

Zamieniając w ten sposób jednostki, wykonać należy następujące działania:

Poprzednie
Następne

Fizyka - wybrane pytania

Pytanie 13., strona 57, Fizyka z plusem. Klasa 8. Podręcznik - rozwiązania i odpowiedzi
Zadanie 6.11., strona 24, Zbiór zadań z fizyki dla szkoły podstawowej. Klasa 7-8 - rozwiązania i odpowiedzi
Ćwiczenie Doświadczenie: Dziurawy karton, strona 230, To jest fizyka. Klasa 7. Podręcznik - rozwiązania i odpowiedzi
Zadanie 24.15., strona 125, Fizyka. Klasa 1. Zbiór zadań. Zakres rozszerzony – rozwiązania i odpowiedzi
Zadanie 11.4., strona 64, Fizyka. Klasa 1. Zbiór zadań. Zakres rozszerzony – rozwiązania i odpowiedzi
Zadanie 4., strona 230, Odkryć fizykę. Klasa 3. Zakres podstawowy. Podręcznik - rozwiązania i odpowiedzi
Zadanie 15.15., strona 205, Fizyka. Klasa 7-8. Zbiór zadań - rozwiązania i odpowiedzi
Zadanie To trzeba umieć 8., strona 302, Odkryć fizykę. Klasa 3. Zakres podstawowy. Podręcznik - rozwiązania i odpowiedzi
Zadanie 10.1.11., strona 192, Zrozumieć fizykę. Klasa 2. Zakres rozszerzony. Zbiór zadań - rozwiązania i odpowiedzi
Pytanie Podejmij temat 1, strona 159, Fizyka. Klasa 8. Podręcznik - rozwiązania i odpowiedzi
REKLAMA
Skul
Zadania z tego działu
II. Właściwości i budowa materii
21
2.1 Atomy i cząsteczki
21

Zadanie 1

21

Zadanie 2

21

Zadanie 3

22

Zadanie 4

22
2.2 Oddziaływania międzycząsteczkowe cz.1
23

Zadanie 1

23

Zadanie 2

23

Zadanie 3

23

Zadanie 4

24

Zadanie 5

24

Zadanie 6

24
2.3 Oddziaływania międzycząsteczkowe cz.2
25

Zadanie 1

25

Zadanie 2

25

Podpunkt a)

25

Podpunkt b)

25

Zadanie 3

26

Zadanie 4

26

Zadanie 5

26
2.3 Oddziaływania międzycząsteczkowe
27

Zadanie 1

27

Zadanie 2

27

Zadanie 3

28

Zadanie 4

28

Podpunkt a)

28

Podpunkt b)

28

Podpunkt c)

28

Zadanie 5

28
2.4 Masa a siła ciężkości
29

Zadanie 1

29

Podpunkt a)

29

Podpunkt b)

29

Podpunkt c)

29

Podpunkt d)

29

Podpunkt e)

29

Podpunkt f)

29

Zadanie 2

29

Zadanie 3

29

Zadanie 4

30

Podpunkt a)

30

Podpunkt b)

30

Podpunkt c)

30

Podpunkt d)

31

Podpunkt e)

31

Zadanie 5

32

Zadanie 6

32
2.5 Gęstość substancji
33

Zadanie 1

33

Podpunkt a)

33

Podpunkt b)

33

Podpunkt c)

33

Zadanie 2

33

Podpunkt a)

33

Podpunkt b)

33

Zadanie 3

34

Podpunkt a)

34

Podpunkt b)

34

Podpunkt c)

34

Podpunkt d)

34

Podpunkt e)

34

Podpunkt f)

34

Zadanie 4

35

Zadanie 5

35

Zadanie 6

35
2.6 Wyznaczanie gęstości
36

Zadanie 1

36

Zadanie 2

36

Podpunkt a)

36

Podpunkt b)

36

Zadanie 3

37

Zadanie 4

37
Sprawdź, czy potrafisz
40

Zadanie 1

40

Zadanie 2

40

Zadanie 3

40

Zadanie 4

40

Zadanie 5

40

Zadanie 6

40
Pełny spis treści
Skul
Artboard 1
Skul.pl
  • Napisz do nas
  • FAQ
  • Mapa Serwisu
  • Google Play
  • App Store

Korzystanie z portalu oznacza akceptację Regulaminu.
Polityka prywatności. Ustawienia preferencji. Copyright: INTERIA.PL 1999-2023 Wszystkie prawa zastrzeżone.