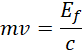
Zadanie

W tym zadaniu na podstawie podanych informacji musisz policzyć prędkość odrzutu atomu wodoru podczas emisji fotonu.

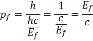
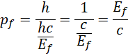
Rozwiązanie

Wyjaśnienie