Źródło: opracowanie własne
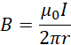
Indukcja pola magnetycznego wyraża się wzorem:
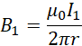
Policz indukcje pola dla obu przewodników:
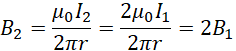
Skoro
To:
Podstawiając do wzoru:
Oznacza to, że wektor indukcji magnetycznej
Zwroty wektorów, wyznacz przy pomocy reguły prawej dłoni. Jeśli kciuk wskazuje kierunek przepływu prądu, to reszta zagiętych palców pokazuje kierunek linii sił pola magnetycznego. Wektory muszą być skierowane prostopadle do osi na której się znajdują.
Źródło: opracowanie własne