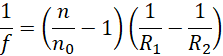
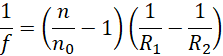
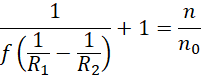
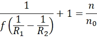
Posłuż się wzorem na ogniskową soczewki:
Wyczytaj ze schematu ogniskową soczewki:
Współczynnik załamania światła powietrza:
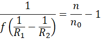
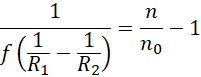
Wzór w tym przypadku prezentuje się następująco:
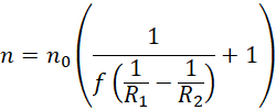
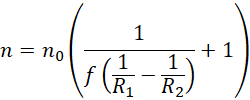
Przekształć wzór:
Wstaw wartości: