Zmiana prędkości:
Czas:
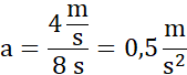
Przyspieszenie:
Masa:
Siła wypadkowa:
Działano siłą 5 niutonów.
Skorzystaj ze wzoru na przyspieszenie i go przekształć:
gdzie a – przyspieszenie
t – czas [s].
Wzór na siłę wynikający z 2 zasady dynamiki:
gdzie a – przyspieszenie
F – siła wypadkowa [N],
m – masa ciała [kg].