Znajdź takie położenie x ładunku , aby siły pochodzące z oddziaływania z ładunkami q1 = 2mC i q3 = 18 mC , umieszczonymi 32 cm od siebie się równoważyły.
Rozwiązanie
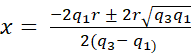
, korzystając teraz ze wzoru na siłę oddziaływania elektrostatycznego między dwoma ładunkami otrzymuje się co po uproszczeniu daje dam , będące jest równaniem kwadratowym na x, którego rozwiązaniem jest , co po wstawieniu odpowiednich wartości daje . Jedno z rozwiązań odrzuca się, ponieważ daje ujemną wartość x, zaś drugie to . Zatem odpowiedź to 8 cm.
Wyjaśnienie
Szukano takich parametrów q i x, aby ładunki pozostawały w równowadze statycznej, czyli siły na nie działające się równoważyły. Do rozwiązania równania kwadratowego użyto wzoru .