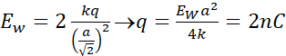
Wiedząc, że w wierzchołkach kwadratu o boku A =0,3 mm umieszczono 4 jednakowe co do wartości (bezwzględnej) ładunki, a pole w jego środku jest skierowane do wierzchołka C i ma wartość
Wiersz nr. 3,
Aby wektor natężenia leżał na prostej AC, to ładunki umieszczone w punktach B i D muszą być takie same co do znaku, gdyż tylko wtedy pole pochodzące od nich się „skasuje” wzajemnie. Następnie wektor natężenia pola idzie od A do C, tak więc wiedząc, że do ładunku dodatniego pole „wychodzi”, a „wchodzi” do ujemnego naturalnym wyborem pozostaje wiersz 3.
Zadanie 12.4.1
114Zadanie 12.4.4
115Zadanie 12.1.4
96Zadanie 12.1.5
96Zadanie 12.1.6
97Zadanie 12.1.7
97Zadanie 12.1.8
97Zadanie 12.4.10
116Zadanie 12.1.11
97Zadanie 12.1.14
98Zadanie 12.2.1
103Zadanie 12.2.2
103Zadanie 12.5.1
122Zadanie 12.5.3
123Zadanie 12.5.5
124Zadanie 12.5.7
124Zadanie 12.6.2
131Zadanie 12.6.3
132Zadanie 12.6.6
132Zadanie 12.6.7
133Zadanie 12.6.8
133Zadanie 12.6.9
133Zadanie 12.6.13
134Zadanie 12.1.4
140Zadanie 12.1.8
140Zadanie 12.1.11
141Zadanie 12.1.14
142Zadanie 12.1.15
142Zadanie 1.1
147Zadanie 1.2
148Zadanie 1.3
148