Znajdź potencjał elektrostatyczny kropli, która powstała wskutek złączenia 8 małych kropel o promieniu r = 3 mm i ładunku q = 10-12 C każda.
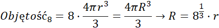
Najpierw należy znaleźć promień dużej kropli. Objętość dużej kropli to:
Zatem znając promień dużej kropli, można skorzystać ze wzoru na potencjał elektrostatyczny od przewodzącej kuli:
Skorzystano ze wzoru na objętość kuli (w której skład wchodziło 8 małych kul o promieniu r) o promieniu R i wzoru na potencjał wewnątrz przewodzącej kuli, który warto przypomnieć, jest taki sam wewnątrz, jak i na brzegach.
Zadanie 12.4.1
114Zadanie 12.4.4
115Zadanie 12.1.4
96Zadanie 12.1.5
96Zadanie 12.1.6
97Zadanie 12.1.7
97Zadanie 12.1.8
97Zadanie 12.4.10
116Zadanie 12.1.11
97Zadanie 12.1.14
98Zadanie 12.2.1
103Zadanie 12.2.2
103Zadanie 12.5.1
122Zadanie 12.5.3
123Zadanie 12.5.5
124Zadanie 12.5.7
124Zadanie 12.6.2
131Zadanie 12.6.3
132Zadanie 12.6.6
132Zadanie 12.6.7
133Zadanie 12.6.8
133Zadanie 12.6.9
133Zadanie 12.6.13
134Zadanie 12.1.4
140Zadanie 12.1.8
140Zadanie 12.1.11
141Zadanie 12.1.14
142Zadanie 12.1.15
142Zadanie 1.1
147Zadanie 1.2
148Zadanie 1.3
148