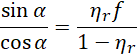
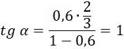
Oblicz, pod jakim kątem do poziomu jest nachylona równia, jeśli jej sprawność wynosi 60%, a współczynnik tarcia kinetycznego o powierzchnię wciąganego na nią klocka jest równy 2/3.
Rozwiązanie
Wyjaśnienie
Korzystamy ze wzoru na sprawność równi, który przekształcamy, aby otrzymać zależność na tangens kąta nachylenia. Wartość kąta odczytujemy z tabeli.